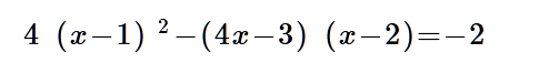
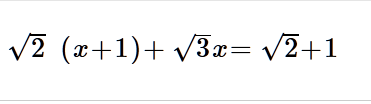
Explicación paso a paso de estas ecuaciones lineales
A ver si me pueden ayudar a explicar paso a paso como resolver los siguientes ejercicios


Los que tiene raíz me cuestan bastante D:
2 respuestas
Respuesta de Lucas m
1
Respuesta de Valero Angel Serrano Mercadal
1