Michael Cooper

Michael Cooper

 Honduras @michaelcooper desde - visto
Preguntar

Actividad pública reciente

Ha preguntado en el tema en y en 1 temas más

Algoritmo que aproxime el logaritmo natural de un numero x, en c++

Ayuda a desarrollar en C++ un algoritmo que aproxime el logaritmo natural de un numero x. Para tal objetivo se tiene la aproximación al n-esemi termino. Usando su algoritmo con n = 1000 y x = -16 ¿Cual es el valor de ln(x)?
Sin respuestas
Ha preguntado en el tema en y en 1 temas más

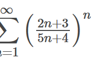
Alguien resuelva paso a paso esta serie

Utilice el criterio de la raíz para determinar si esta serie converge absolutamente o diverge. Si alguien están amable de explicar más o menos el criterio seria de gran ayuda
Sin respuestas
Ha preguntado en el tema en y en 1 temas más

Alguien explique paso a paso el método de comparación

Sugerencia comparacion del limite con Utilice el criterio de comparación del limite para determinar si la serie converge o diverge Si por favor explican más o menos como entenderle a este criterio seria de mucha ayuda.
Sin respuestas
Ha preguntado en el tema en y en 1 temas más

Alguien explique paso a paso esta serie telescópica

Determine una fórmula para la n-esima suma parcial de la serie y utilícela para determinar si la serie converge o diverge, si converge determine su suma. Alguien con paciencia explique por favor los métodos para esta serie y para los ln estaría muy...
Sin respuestas
Ha valorado "Excelente" la respuesta

Alguien explique paso por paso esta sumatoria

respondió: ;) Hola Michael! Son dos progresiones infinitas geométricas. La suma de infinitos términos es a_1/(1-r) La primera sucesión, sin el 5,que saco fuera del sumario: a_1=1/2 r=1/2 Suma=(1/2)/(1-1/2)=1 La segunda: b_1=1/3 r=1/3...
Ha valorado "Excelente" la respuesta

Explicar paso a paso esta aplicación de calculo 1

respondió: · · ¡Hola Michel! Sea b la base y h la altura, el área será A= bh Y se trata de hacer que esta área sea mínima. Lo que sabemos son los márgenes y el área imprimible Si descontamos los márgenes, el área imprimible es (b - 2 · 2)(h - 2· 3) = 180...
Ha valorado "Excelente" la respuesta

Como hacer la siguieten derivada

respondió: ;) Hola Michael cooper! Lo lógico sería simplificar primero la expresión saludos ;) ;)
Ha valorado "Excelente" la respuesta

Como hacer esta derivada paso a paso

respondió: · · ¡Hola Michael! Hay que hacer la derivada implícita, se derivad con respecto a x teniendo en cuenta que y es una función de x, así que cuando haga falta derivar y pondremos y'. Después de eso hay que despejar y'. Y eso es todo, saludos. : :
Ha valorado "Excelente" la respuesta

Resolver paso a paso la siguiente derivada

respondió: · · ¡Hola Michael! Hay varias reglas que usar. Y te dejo como ejercicio comprobar que las dos expresiones son iguales. Saludos. : .
Ha valorado "Excelente" la respuesta

Alguien que me explique paso a paso calcular el valor de x

respondió: · · ¡Hola Michael! Ese sería el dibujo real porque está muy desfigurado el de la imagen Pr semejanzas de los triángulos CAE, DFE y BAF sededuce X=Y y que las distancias AF y FE son iguales, pero en la imagen dicen que son distintas, luego el 11 o el...