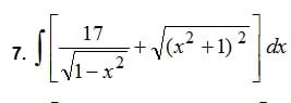
Integrales indefinidas resolver paso apaso

Buenas tardes si pueden resolver la integral y derivar para llegar la función original
2 respuestas
Respuesta de Lucas m
1
Respuesta de Valero Angel Serrano Mercadal
1