Calcula el numero de personas dentro de x años
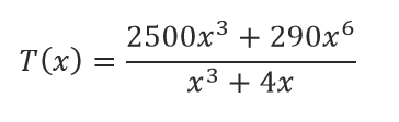
En esta estrategia de expansión la editorial desea construir una tienda en una plaza comercial donde recientemente arriban gran cantidad de personas, para lo cual calcula que el flujo de personas dentro de x años en la plaza sigue la siguiente función:

En cientos de personas, si se ha determinado que se requiere que la población de clientes sea de al menos 10,000 personas en cualquier momento, "determina si será rentable en algún momento construir ésta nueva tienda para la empresa"
1 respuesta
Respuesta de Valero Angel Serrano Mercadal