Roberto Avila

Roberto Avila

 México @robertoavila desde - visto
Preguntar

Actividad pública reciente

Ha cambiado su perfil.
  • Ha cambiado su foto.
Ha valorado "Excelente" la respuesta

Por que método o procedimiento se puede resolver esta integral

respondió: Siustitución:
Ha preguntado en el tema en

Calcula el numero de personas dentro de x años

En esta estrategia de expansión la editorial desea construir una tienda en una plaza comercial donde recientemente arriban gran cantidad de personas, para lo cual calcula que el flujo de personas dentro de x años en la plaza sigue la siguiente...
Ha valorado "Excelente" la respuesta

Por que procedimiento se resuelve esta integral

respondió: Se hace por partes. La contesté aquí: Cómo determino la integral de las funciones? ¿ Cómo determino la integral de las funciones? De todos modos vota aquí la respuesta.
Ha valorado "Excelente" la respuesta

Como puedo resolver los siguientes ejercicios

respondió: 1.- Las Utilidades son los Ingresos menos los Costos. Los costos se calculan a partir del Costo fijo y el variable: C(x)
Ha preguntado en el tema en

Determinar el costo promedio máximo

1.- En un movimiento de expansión de la empresa editorial, se determina que el costo promedio mensual debido al departamento de recursos humanos, está dado por la siguiente función: En donde representa el personal del departamento y se desea aumentar...
Ha valorado "Excelente" la respuesta

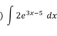
Necesito apoyo para resolver esta integral

respondió: La derivada de una exponencial es la misma exponencial, luego por tanteo:
Ha valorado "Excelente" la respuesta

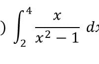
Como puedo resolver esta integral

respondió: Roberto Ávila Aplicando la integral de potencias: