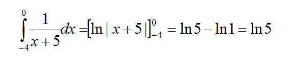
¿Cual es es procedimiento para resolver esta integral

me podrían ayudar a resolver esta integral es de la materia de calculo integral y sus aplicaciones
1 respuesta
Respuesta de Lucas m
1

