Conversión caballos fiscales españoles a franceses

Tengo un seat Ibiza 19,9 TDI 4 caballos, cilindrada 1896cm3 con una Potencia fiscal/real: 12,89/ 74 (no tengo más datos técnicos útiles).
Mi pregunta es si alguien sabe la equivalencia de esta potencia fiscal con la de francia.
Tengo que hacer la declaración de la renta en francia y estoy un poco perdida...

1 respuesta

Respuesta
2
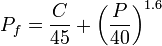
En francia se calcula con arreglo a esta expresión:

, donde C es la emisión de CO2 en gramos/km y P es la potencia en kW.
Veo que la potencia en kW sí que la das (74) pero no pones datos de emisiones. Por lo que he visto en internet, tu motor es el 1.9 TDI 100CV, cuyas emisiones son de 135 gramos/km.
Para esos datos, por tanto, te queda una potencia fiscal francesa:
Pf = 5,67
Espero haberte ayudado, si tienes alguna otra duda, pregunta sin problemas. Si quedó claro, por favor, finaliza/valora la respuesta.

Añade tu respuesta

Haz clic para o

Más respuestas relacionadas