Yani Juarez

Yani Juarez

 México @yanijuarez desde - visto
Preguntar

Preguntas

Pregunta en y en 2 temas más

Alguien podría decirme si estoy en lo correcto con este ejercicio

Álgebra Lineal Alguien podría decirme si estoy en lo correcto con este ejercicio: Verifica si el siguiente conjunto es subespacio de R3 o R2, respectivamente, considerando las operaciones de suma y multiplicación por escalar, de la forma usual ? =...
Pregunta en y en 2 temas más

Verifica si el siguiente conjunto es subespacio de R3 ? R2, respectivamente, considerando las operaciones de suma

Álgebra Lineal Verifica si el siguiente conjunto es subespacio de R3 o R2 respectivamente, considerando las operaciones de suma y multiplicación por escalar, de la forma usual ? = {(?, ?) ∈ R2 | ? + ? = ?, ? ∈ R − {0}}
Sin respuestas
Pregunta en y en 2 temas más

Demuestre que la integral de línea es independiente de la trayectoria

Integrales de línea Demuestre que la integral de línea es independiente de la trayectoria
Pregunta en y en 2 temas más

Representación paramétrica de las siguientes integrales

Integral de línea Representación paramétrica de las siguientes integrales y si son independiente de la trayectoria
Pregunta en y en 2 temas más

Demuestra qué propiedades de espacio vectorial se cumplen, y cuáles no

Espacios vectoriales Demuestra qué propiedades de espacio vectorial se cumplen, y cuáles no. Clasifica los conjuntos conforme a los resultados. Sea S={(a1 ,a2 ) : a1 ,a2 }. Para (a1 ,a2), (b1 ,b2) ∈ S, y c ∈ R , se definen: (a1 ,a2)+( b1 ,b2) = (a1+...
Pregunta en y en 3 temas más

Demuestra que la suma de polinomios es asociativa

Álgebra lineal. Espacios Demuestra que la suma de polinomios es asociativa (p(x)+q(x))+h(x)+(g(x)+h(x))
Pregunta en y en 3 temas más

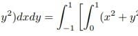
Se propone realizar la integral, iniciando para la variable y y haciendo x constante

Análisis de la integral doble Se propone realizar la integral, iniciando para la variable y y haciendo x constante, es decir; Determine el volumen de la f(x, y) = z = x^2 + y^2, es decir; Evaluar la siguientes integrales iteradas y presentar su gráfica:
Pregunta en y en 3 temas más

Aproxime la integral doble utilizando una suma de Riemann y las Rk que se muestran en la figura

Calculo de varias variables Suma de Riemann Figura a utilizar:
Sin respuestas
Pregunta en y en 3 temas más

Determinada por las rectas horizontales y verticales que intersecan los ejes en los puntos de las coordenadas enteras

Calculo de varias variables Suma de Riemman Ver la siguiente figura;
Sin respuestas
Pregunta en y en 3 temas más

Evalué las siguientes integrales definidas y realice la gráfica del área bajo la curva

Calculo de varias variables Evalué las siguientes integrales definidas y realice la gráfica del área bajo la curva