Representación paramétrica de las siguientes integrales
Integral de línea
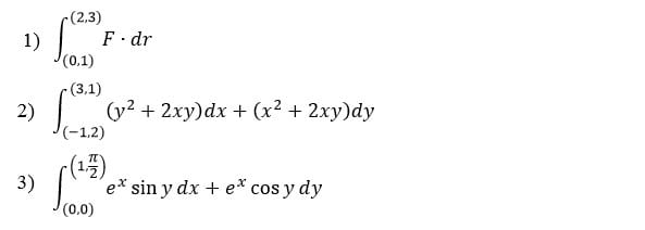
Representación paramétrica de las siguientes integrales y si son independiente de la trayectoria

1 Respuesta
                    Respuesta de Lucas m                
                
        
        
            
                1