Se propone realizar la integral, iniciando para la variable y y haciendo x constante
Análisis de la integral doble
Se propone realizar la integral, iniciando para la variable y y haciendo x constante, es decir;
Determine el volumen de la f(x, y) = z = x^2 + y^2, es decir;

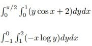
Evaluar la siguientes integrales iteradas y presentar su gráfica:

1 respuesta
Respuesta de Norberto Pesce
1
