Yani Juarez

Yani Juarez

 México @yanijuarez desde - visto
Preguntar

Preguntas

Pregunta en y en 1 temas más

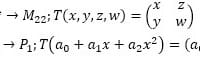
Prueba que la transformación dada es una transformación lineal

Álgebra lineal Prueba que la transformación dada es una transformación lineal.
Sin respuestas
Pregunta en y en 1 temas más

Calcula la matriz de transición de la base 2 a la base 1

Álgebra lineal Pueden ayudarme, es que no se como hacer la transición de una base a otra. Sean dos bases B1={v1=(1,0,0),v2=(1,1,1),v3=(1,0,1)} y B2={v1=(1,2,3),v2=(2,4,7),v3=(3,1,10)} de R3. I. Calcula la matriz de transición de la base 2 a la base...
Sin respuestas
Pregunta en y en 1 temas más

Determine una base y dimensión para el conjunto solución del sistema de ecuaciones lineales

Álgebra lineal Podrían ayudarme hay calculadoras que determine una base y dimensión para el conjunto solución del sistema de ecuaciones lineales y si no como resolvería este problema
Pregunta en y en 1 temas más

Indica cuáles de los tres vectores i) (4,-26,100), ii) (2,-2,8) y iii) (-3,3,1) son generados por el conjunto W

Álgebra lineal Para v=(1,-2,11); W={v_1=(1,-2,3),v_2=(2,1,0),v_3=(1,1,1)} 1. Representa, si es posible, al vector v como combinación lineal de los vectores del conjunto W 2. Establece qué espacio vectorial generan los vectores del conjunto W 3....
Pregunta en y en 1 temas más

Determina, si el conjunto V, es cerrado bajo las operaciones ⨁ y ⨀.

Álgebra lineal Podrían ayudarme, es que no entiendo como trabajar con los operadores ⨁ y ⨀ Determina, si el conjunto V, es cerrado bajo las operaciones ⨁ y ⨀. V es el conjunto de todos los pares ordenados de números reales (x, y), donde x≥0 y y≥0.
Pregunta en y en 1 temas más

Un ejemplo de un subconjunto de R3 que contenga al vector cero, pero que no sea un subespacio

Álgebra Lineal Podrían ayudarme "Un ejemplo de un subconjunto de R3 que contenga al vector cero, pero que no sea un subespacio" He buscado pero he visto que el vector 0 no esta dentro del subconjunto
Pregunta en y en 1 temas más

Cuál es la interpretación geométrica del subespacio de R2

Álgebra lineal Cuál es la interpretación geométrica del subespacio de R2 H = {(a,a): a,b ∈ R}H = {(a,0): a,b ∈ R}
Pregunta en y en 1 temas más

Demuestra el teorema de la Solución General para sistemas lineales

Calculo diferencial Demuestre el teorema de la Solución General para sistemas lineales Sean x1(t), … ,xn(t) n soluciones linealmente independientes del sistema X'=A(t)X. La solución general del sistema es x(t)=c1 x1 (t)+⋯+cn xn (t), Donde c1,…, cn...
Sin respuestas
Pregunta en y en 1 temas más

Como invertir los bytes en un tiempo 0(n^2) en python

Crea un algoritmo en python que invierta los bytes en un tiempo 0(n^2) (Recuerda que la definición de representa una cota superior del orden de f(n), es decir, el tiempo máximo que debería tomar al algoritmo ejecutarse).
Sin respuestas
Pregunta en y en 2 temas más

Considere la siguiente ecuación y haya la ecuación característica correspondiente

Ecuaciones diferenciales Considere la ecuación Hallar la ecuación característica correspondiente y dibujar algunas curvas características.
Sin respuestas