Karl Mat

Karl Mat

 33,1K puntos  Perú @tutordematematicas desde - visto
Preguntar

Respuestas en Matemáticas

Tengo una duda acerca de cómo resolver este problema matemático

Se usó a las funciones trigonométricas hiperbólicas

Teorema sobre biyectividad de la composición

Por supuesto que es posible tal composición Ahora la composición f o g pueda que no exista, si hacemos que los conjuntos A y C sean disjuntos
Respuesta en y en 2 temas más a

Demostración mediante teorema de estriccion

Lo haré de dos formas 1. Por el teorema de la estricción 2. la otra forma
Respuesta en y en 1 temas más a

Utiliza la definición de continuidad y las propiedades de los límites para demostrar que la función es continua en número dado

Se deben cumplir dos cosas 1) T = 4 sea parte del dominio de la función f, lo cual es cierto, además 2) que exista el límite en t = 4, es decir Esto último debemos probarlo. Usaremos la definición del límite: Para empezar tenemos un número delta...
Respuesta en y en 2 temas más a

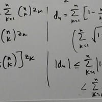
Duda con este problema de variable compleja

Aquí tengo una idea de demostración, suponiendo primero que zk es real y luego podemos pensarlo como complejo ya que zk = ak + bk i Dn entonces tiende a 0, por ende quedaría demostrado. Se aplicó la desigualdad de Cauchy.
Respuesta en y en 1 temas más a

¿Cómo calcular [V]s en álgebra lineal?

v = 2(-2,1) + (-1)(1,0) = (-5,2) Sea [v]s = (a ; b) entonces (-5,2) = a(-3,1) + b(1,2) se reduce a resolver este sistema de ecuaciones -3a + b = -5 a+2b = 2 b= 1/7 , a = 12/7 Respuesta (d)
Respuesta en y en 1 temas más a

Como resolver sistemas de ecuaciones de fracciones parciales irreductibles cuadráticas

Hay que tener en cuenta que al hacer Solo quería acotar algo más de lo que ya resolvió Alejandro Salazar.
Respuesta en y en 2 temas más a

Como calcular series de Taylor

Hallamos la serie de Taylor en un valor cercano a 2, digamos en 0 etcétera.