Quisiera saber el procedimiento de las asíntotas oblicuas por el concepto de limites además, la segunda derivada con procedimien
Sucede que la segunda derivada no me da, ¿la hago en diferentes aplicaciones y me da distinta a lo que me da me puedes ayudar por favor? Además, cuando voy a hallar la asíntota oblicua por medio de limite cuando x->infinito, me da que mx= x y -x pero en el momento de hallar b de la fórmula y=mx+b También con limites, le resto a la función f(x)-mx Me da infinito/infinito procedo a dividirla por x^2 Que es la x de mayor exponente y en el momento de evaluar me da 0/0 necesito ayuda. Muchas gracias!
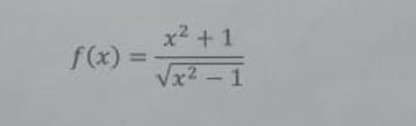
Anexo función

2 respuestas
                    Respuesta de Karl Mat                
                
        
        
            
                1
              
        
        
        
            
            
        
    
                
                    Respuesta de Norberto Pesce                
                
        