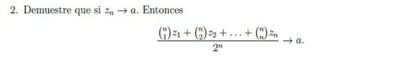
Duda con este problema de variable compleja

El problema es muy ambiguo casi no da pistas de como resolverlo espero su ayuda.
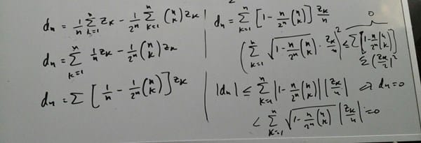
Respuesta de Karl Mat
1
1 respuesta más de otro experto
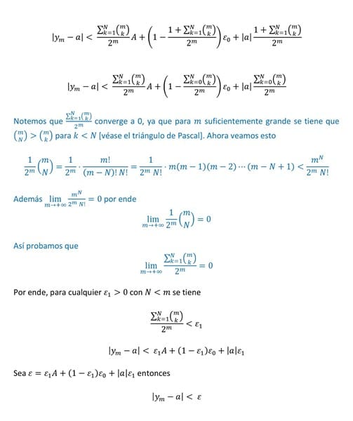
Respuesta de Alejandro Salazar
1



