Sergio LP

Sergio LP

Ingeniero por la Politécnica de Madrid.
 30,0K puntos  Madrid, España @sergilp desde - visto
Preguntar

Respuestas

Respuesta en y en 2 temas más a

Tengo 293.15ºK como los convierto a presión (Para).

Los Kelvin (K) son una medida de temperatura (que por cierto se escriben sin el índice º después del número, que se emplea en los grados Celsius y Fahrenheit). Como medida de temperatura, NO se pueden convertir en presión. La pregunta no es correcta,...
Respuesta en y en 1 temas más a

Nikon D3300.. ¿Objetivo con estabilizador? ¿Que pack comprar?

Por mi mano han pasado, (y algunos los conservo) objetivos con sistemas estabilizadores de imagen (VR) de Nikon. Javi Roces ya te ha contado de forma genérica los diferentes sistemas por lo que me pararé más en la experiencia de uso de este sistema....
Respuesta en y en 1 temas más a

¿Por qué mi focus 2, cuando esta en ralentí tiene un temblor extraño que la mayoría de veces dura bastante?

Es posible que ese temblor se deba al funcionamiento del circuito de aire acondicionado. ¿Es posible que solo suceda cuando arranca el circuito del aire?
Respuesta en y en 1 temas más a

¿Cuál es mejor opción nikon 3200d o canon EOS1200?

Siento decirte que no hay una decisión correcta. No hay una mejor que la otra. Y si encuentras a alguien que recomienda efusivamente una de las dos marcas, desconfía de sus opiniones, no sabe muy bien lo que dice. Son dos marcas en niveles muy...
Respuesta en y en 2 temas más a

Intermitente trasero acelerado y luz de posición a la vez

Es un fallo de masa del circuito. Hay algún contacto que está derivando a Masa de forma anómala, no debería. Revisa las tulipas de los faros, los contactos, cables sueltos, zonas y contactos oxidados. Es muy común que sea por bombillas-portalámparas...
Respuesta en y en 3 temas más a

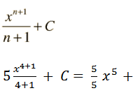
Resolver integrales fundamentales presentados a continuación

Siguiendo los mismos pasos del ejercicio de integral resuelto antes:
Respuesta en y en 3 temas más a

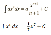
Calculo: resolver la siguiente integral

Es una integral básica, integral de un polinomio. La constante C es una constante de integración, que puede ser cualquier valor de grado polinómico 0
Respuesta en y en 1 temas más a

¿Como se puede construir una plancha de estampado para poleras o gorros?

No puedo decirte como construir una plancha, porque no he construído nunca ninguna. Puedo hablarte sobre principios de funcionamiento de estas. Puedes construirla de vapor o directamente eléctrica (que serán las dos posibilidades más sencillas). El...
Respuesta en a

¿Esta afirmación sobre física es correcta?

La velocidad orbital de un satélite NO depende de su propia masa, sino de la masa del cuerpo alrededor del que orbita (planeta, estrella...) y del radio al que está situado ese satélite. (Como puedes ver en la siguiente fórmula) Por tanto,...