Resolver integrales fundamentales presentados a continuación
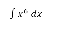
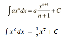
Resolver la integral presentada a continuación. "Teorema fundamental de calculo" la integral esta plasmada en la siguiente imagen

2 Respuestas
Respuesta de Sergio LP
1
Respuesta de Valero Angel Serrano Mercadal
1
