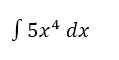
Calculo: resolver la siguiente integral

Requiero de resolver esta integral, explicando los pasos seguidos para la solución
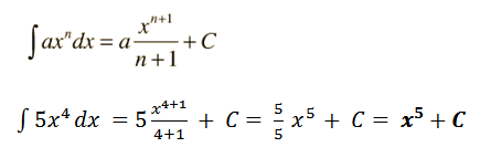
Respuesta de Sergio LP
1
1 respuesta más de otro experto
Respuesta de Valero Angel Serrano Mercadal
1
