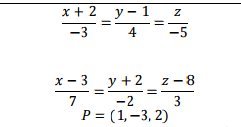
Ejercicio de álgebra lineal. Encuentre una recta L ortogonal a las dos rectas dadas y que pase a través del punto dado.

Encuentre una recta L ortogonal a las dos rectas dadas y que pase a través del punto dado. Unidad Rectas y plano en R3

Respuesta
1

·

·

¡Hola Rocío!

El vector perpendicular a dos rectas se obitene con el producto vectorial de sus vectores directores.

Para los vectores directores hay que tener cuidado porque a veces nos pueden engañar con la ecuación continua, hay que asegurarse que los numeradores tienen x, y, z sin ningún coeficiente ni signo cambiado. En este caso se ve que están bien, luego los vectores son los denominadores.

|  i   j   k|

|-3  4  -5| = 2i - 26j -22k

| 7 -2   3|

Lo podemos tomar un poco más simplificado

v = (1, -13, -11)

Y la recta es el punto por donde pasa + el vector multiplicado por todos los valores reales

(x,y,z) = (1,-3,2) + t(1,-13,-11)

Puesta en forma parmétrica es:

x = 1+t

y = -3 -13t

z = 2 -11t

y en forma continua sería

$$\begin{align}&\frac{x-1}{1}=\frac{y+3}{-13}=\frac{z-2}{-11}\end{align}$$

Y eso es todo, sa lu dos.

:

:

Añade tu respuesta

Haz clic para o

Más respuestas relacionadas