Preguntas esperando respuesta
Actividad pública reciente
Ha preguntado en el tema en
Ingles
y en 1 temas más
¿Como se resuelven estos ejercicios de inglés?
¿Me podrian decir si conteste bien estos ejercicios de Inglés? Si no es así cual es la respuesta correcta. Les agradezco mucho su atención Complete with the correct pronoun ___He__ reads a book. (Sam)___It__ is green. (The tree)____They_ are on the...
Sin respuestas
Ha preguntado en el tema en
Matemáticas
y en 2 temas más
¿Qué conclusión le darían a estos datos estadísticos?
¿Qué conclusión le darían a estos datos estadísticos? En los últimos años, el problema de sobrepeso en la población infantil se ha agravado. Por ello, se levanta una muestra en un grupo escolar para dar cuenta de la gravedad del asunto. Los pesos (en...
Ha valorado "Excelente" la respuesta
¿Me podrían decir si es falso o verdadero, ejercicios de estadística?
1)... No. El parámetro importante es "p" = probabilidad de éxito. El otro se deduce como "q= 1-p". O sea corresponde Falso. 2) ... No. El numero de ganchos defectuosos es una variable discreta porque es numerable. O sea corresponde Falso. 3) Si. Es...
Ha valorado "Excelente" la respuesta
La siguiente gráfica representa a la función propuesta en la opción:
Ha preguntado en el tema en
Matemáticas
¿Cómo realizo la siguiente sucecion?
Me podrían ayudar con las siguientes sucesiones, les agradezco el tiempo empleado en mi pregunta, gracias. A )El término 77 de la sucesión -4,-1,2,5,…, es: B)El término 177 de la sucesión -4,-1,2,5,…, es:
Sin respuestas
Ha valorado "Excelente" la respuesta
¿Cómo realizar una gráfica a partir de los siguientes datos?
Ha valorado "Excelente" la respuesta
¿Cómo calculo el área y perímetro de ls siguientes figuras?
Ha valorado "Excelente" la respuesta
¿Cuál es el resultado de la siguiente sucesiob numérica?
Ha valorado "Excelente" la respuesta
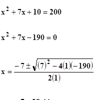
¿Cómo saco las medidas del siguiente terreno usando la fórmula cuadrática?
Ha cambiado su perfil.
- Ha cambiado su foto.

