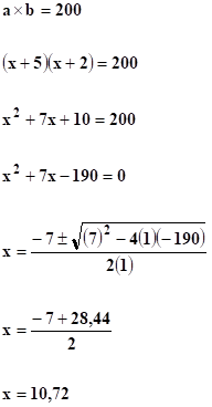
¿Cómo saco las medidas del siguiente terreno usando la fórmula cuadrática?
Espero estén muy bien, me podrían explicar como se realiza el siguiente ejercicio. Gracias

¿Cuánto miden los lados de la construcción al interior del terreno?
¿Cuál es el área del terreno?
¿Cuál es el área de la construcción?
¿Cuál es el área sin construir en el terreno?
1 Respuesta
Respuesta de Luis Alberto Candio Salcedo
1


