fabian  gamez

fabian gamez

 4.525 puntos  México @fabiangamez desde - visto
Preguntar

Preguntas

Pregunta en

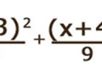
¿Cuál es el valor de la Excentricidad en la siguiente ecuación?

Excelente día, compañeros me podrían sacar de la siguiente duda con esta ecuación, mil gracias. Estas son las posibles repuestas ¿Cual estara bien? Gracias!
Pregunta en

¿Están bien estos ejercicios para determinar el perímetro de un polígono?

Perímetro 87.8m Realice estos ejercicio y me gustaría me dijeran si están bien
Pregunta en

¿Cómo determino las medidas del siguiente terreno?, geometría analítica

Solo respondo lo siguiente lo demás no lo entiendo Situación: Adquiriste un terreno que tiene forma irregular. El terreno está delimitado por los segmentos de recta que unen los vértices A, B, C y DE de acuerdo a la siguiente figura: Instrucciones...
Pregunta en

¿Cómo encuentro las coordenadas de “C” en el siguiente plano cartesiano?

Basándose en las coordenadas del punto A dterminar las coordenadas del punto "C" A (-4 ,7) B (-6, -18) C ¿? D (15, 7)
Pregunta en

¿Cuál es la respuesta a las siguientes operaciones logarítmicas, me podrían explicar?

Me podrían ayudar con lo siguiente, de antemano les agradezco su atención. A) B)
Pregunta en y en 3 temas más

¿Por qué no puedo instalar windows 10 en una portátil toshiba notebook satellite?

Sucede que la portátil tenia windows 8, cambie la configuración de la BIOS de UEFI A CSM para que pudiera botear desde el DVD que contiene windows 10, ala hora de leer el DVD y hacer el formateo cambie el disco de GPT a MBR por que no me dejaba...
Pregunta en

¿Cuál el termino constante de la siguiente función algebraica?

A) ¿Cuál es el término constante en la función f(X)= 9 + 2x - 3x2 + x3? B)¿Cuál es el coeficiente principal de la función F(x) = 9 + 2x - 3x2 + x3 ? Gracias por su atención
Pregunta en

¿Aplique bien el teorema de pitágoras en el siguiente ejercicio?

Me gustaría saber si realice bien el ejercicio, dudo por que me salen cantidades muy grandes. Adquieres un terreno que tiene cierto desnivel, la distancia vertical entre el punto más bajo y el punto más alto son “y” metros de acuerdo a la siguiente...
Pregunta en

¿Cuánto mide el otro ángulo agudo? Problemas con triángulos

1... Los lados de un triángulo miden 6, 8 y 12 cm. Se construye otro triángulo semejante a él cuyas medidas son 9, 12 y 18 cm, ¿Cuál es la razón de proporcionalidad? 2... Si en un triángulo rectángulo uno de sus ángulos agudos mide 15 grados, ¿Cuánto...
Pregunta en

¿Cómo se aplican los siguientes triángulos semejantes?

Planteamiento del caso. Construirás una casa y para ello necesitas derribar un árbol que está en el centro del terreno. Decides contratar una persona que te cobrará cierta cantidad por cada metro de altura que tenga el árbol. Los datos para resolver...