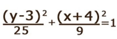
¿Cuál es el valor de la Excentricidad en la siguiente ecuación?
Excelente día, compañeros me podrían sacar de la siguiente duda con esta ecuación, mil gracias.

Estas son las posibles repuestas ¿Cual estara bien? Gracias!

1 respuesta
Respuesta de Lucas m
1