fabian  gamez

fabian gamez

 4.525 puntos  México @fabiangamez desde - visto
Preguntar

Preguntas

Pregunta en y en 3 temas más

Problemas del táctil o pantalla con teléfono Cubot

Mi teléfono King kong ace 2 habré las aplicaciones solo, es decir se maneja solo sin que se toque el táctil, lo qué le llaman (la pantalla se vuelve loca) ¿Saben a qué se debe este problema y qué es lo qué tengo qué hacer. Quisiera tener el...
Pregunta en y en 1 temas más

¡¿Cuál es la solución a estos ejercicios de onglés?

Change the statements into questions I’m late. ______________________________________________He is fifteen. ______________________________________________The school is in the street. ______________________________________________My books are in your...
Pregunta en y en 1 temas más

¿Cual es la respuesta correcta de este ejercicio de Inglés?

Esperando tengan un excelente dia. Me podrían ayudar con lo siguiente: De antemano, gracias! Underline the correct pronoun Tony gives we/us a flowerTina and Mike tell him/he a storyPaula wants to help me/IShe/Her (Paula) is my best friendThem/They...
Pregunta en y en 1 temas más

¿Cómo saco el error estándar de estimación del siguiente ejercicio?

Me pidieron calcular la recta de regresión y el error estándar, la recta ya la calcule, pero el error estándar de estimación no estoy seguro si el resultado es el correcto. Les dejo los datos. Deacuerdo a los datos el error estandar de estimacion lo...
Sin respuestas
Pregunta en y en 1 temas más

¿Cómo calculo los intervalos o ancho de cada clase?

Ordene los datos de manera ascendente en este recuadro Despues determine lo siguiente No se como realizar los intervalos a partir de los datos de la tabla. ¿M e podrían ayudar por favor? Se los agradecería mucho. Excelente día
Pregunta en y en 1 temas más

¿Me podrían decir si hice bien este ejercicio de distribución normal? Es de Estadistica.

Estos fueron mis resultados, si en algo estoy mal me gustaría me dijeran en que y como se hace el procedimiento para poder entender los procesos para sacar los resultados.
Pregunta en y en 1 temas más

¿Cómo convertir una ecuación de la forma ordinaria a la forma general?

Me podrían explicar por favor como se realiza este ejercicio. Gracias. Convierte la ecuación de la forma ordinaria a la forma general. Se que da como resultado lo siguiente. Pero no se como se obtiene, ya que lo saque con una calculadora, pero me...
Pregunta en y en 1 temas más

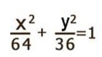
¿Cuál es el valor del lado recto de la siguiente elipse?

Me podrían ayudar con lo siguiente. De antemano se los agradezco mucho, gracias por su atención. Es el valor del Lado Recto de la elipse a. LR = 7 b. LR = 10 c. LR = 9 d. LR = 8
Pregunta en

¿Cómo se solucionan los siguientes conjuntos?

Me podría ayudar con la resolución de estos conjuntos, mil gracias por su atención. Si A= {3, 4, 5, 6, 7} y B= {1, 3, 5, 7}, A - B es igual a… Si A= {3, 4, 5, 6, 7} y B= {1, 3, 5, 7}, B - A es igual a … Si A= {3, 4, 5, 6, 7} y B= {1, 3, 5, 7}, AUB es...
Pregunta en y en 1 temas más

¿Qué probabilidad hay de que salgan 2 águilas y un sol al lanzar tres monedas al mismo tiempo al aire?

Me podrían ayudar con lo siguiente: 1... La probabilidad (en porcentaje) de que salgan 2 águilas y un sol al lanzar tres monedas al mismo tiempo al aire es: 2... La probabilidad de que salgan 3 águilas o 3 soles al lanzar tres monedas al mismo tiempo...