¿Cuánto mide el otro ángulo agudo? Problemas con triángulos
1... Los lados de un triángulo miden 6, 8 y 12 cm. Se construye otro triángulo semejante a él cuyas medidas son 9, 12 y 18 cm, ¿cuál es la razón de proporcionalidad?
2... Si en un triángulo rectángulo uno de sus ángulos agudos mide 15 grados, ¿cuánto mide el otro ángulo agudo?
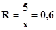
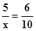
3... Si un cuadrado tiene de lado 5 cm, ¿cuánto medirá un cuadrado semejante cuya razón de proporcionalidad sea 0.6?
Gracias por su amable atención
1 respuesta
Respuesta de Luis Alberto Candio Salcedo
1

