¿Aplique bien el teorema de pitágoras en el siguiente ejercicio?
Me gustaría saber si realice bien el ejercicio, dudo por que me salen cantidades muy grandes.
Adquieres un terreno que tiene cierto desnivel, la distancia vertical entre el punto más bajo y el punto más alto son “y” metros de acuerdo a la siguiente figura.

Decides emparejar el terreno en el punto más bajo y contratas maquinaria pesada para realizar el trabajo de excavación y acarreo de tierra.
Los datos para resolver mi actividad son:

Resuelve lo siguiente:
- Determina la longitud horizontal del terreno después de ser emparejado. Longitud “d”
- Si el frente tiene “z” metros, determina la superficie del terreno.
- Determina el volumen de tierra que será extraído del terreno.
- Determina cuánto pagarás por emparejar el terreno si por cada metro cúbico de excavación y acarreo de tierra te cobran “c” pesos.
Realice lo siguiente y quisiera saber si esta bien o por favor que me digan como se hace:
1.- Determina la longitud horizontal del terreno después de ser emparejado. (Longitud “d”)

2.- Si el frente tiene “z” metros, determina la superficie del terreno.
Se ha rebajado el terreno y quedo con una forma de un rectángulo con medidas de: 22.95 * 27
Entonces la superficie del terreno será S=22.95 * 27=619.95 m2
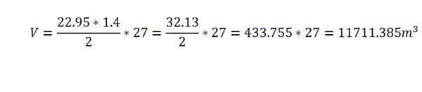
3.- Determina el volumen de tierra que será extraído del terreno.
4.- Determina cuánto pagarás por emparejar el terreno si por cada metro cúbico de excavación y acarreo de tierra te cobran “c” pesos.

Estoy bien o como se realiza.