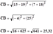
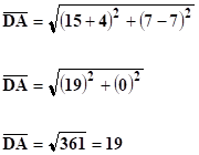
¿Están bien estos ejercicios para determinar el perímetro de un polígono?


Perímetro 87.8m
Realice estos ejercicio y me gustaría me dijeran si están bien
1 Respuesta
                    Respuesta de Luis Alberto Candio Salcedo                
                
        
        
            
                1
              
        
        
        
            
            
        
    
                






