Respuesta
en
Matemáticas
y en 1 temas más
a
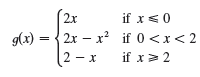
Integrales triples cambio de coordenadas
Respuesta
en
Matemáticas
y en 3 temas más
a
Que valor satisface () para 0° menor igual que ø menor igual que 360°
La primera la respondí el ejercicio pasado. La segunda. Pues despejando nos queda sin(x)=1/2 x=arcsin (1/2)= 30°. Haciendo uso del círculo unitario y haciendo uso de su simetría podemos ver que el ángulo que es "espejo" a 30° tiene la misma...
Respuesta
en
Cálculo
a
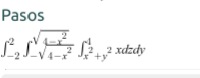
¿Cómo pasar de resolver integrales triples?
Respuesta
en
Matemáticas
y en 1 temas más
a
Determina la suma de las series, presentando el procedimiento y fórmulas utilizadas para dicha suma:
Por lo que entiendo quieres la suma de los reciprocos de todos los números que tienen como factores el 2 y el 3 exclusivamente (al menos todos los numeros que están en lo que pusiste cumplen eso), porque no entiendo bien que significa el :''cuyos...
Respuesta
en
Matemáticas
y en 3 temas más
a
Procedimiento para hallar sumatoria para la serie
Por las series que has puesto puedo ver que para este tipo que parecen complicadas hay que hacer uso de series conocidas(series de taylor o concretamente las de mclaurin). Esta se parece mucho a la del coseno que es de la forma Viendo la que tenemos...
Respuesta
en
Matemáticas
y en 2 temas más
a
En las siguiente sucesión, indica si la sucesión es convergente o divergente
Una sucesión converge si el límite cuando N tiende a infinito da un valor finito. Y se dice que la sucesión converge a ese valor. Haciendo el límite verás que tiende a 1/2 por lo que la serie converge a 1/2
Respuesta
en
Matemáticas
y en 1 temas más
a
¿Cómo se obtiene la utilidad máxima usando la segunda derivada?
Haciendo la primera derivada cero hallas los valores de x, que te dicen donde se encuentran los máximos o mínimos relativos. Con la segunda derivada lo que debes hacer es insertar esos valores de x, si el resultado es un número negativo, es un...
Respuesta
en
Matemáticas
y en 1 temas más
a
¿Cómo se resuelven los siguientes problemas de derivadas (cálculo básico)?
Respuesta
en
Matemáticas
y en 2 temas más
a
¿ Como entender la siguiente propiedad ?
Tienes 2008 elevado al logaritmo(base 2008) de 1500 y eso es igual a 1500 El logaritmo y los exponentes son inversas. Como cuando sacas la raíz de una potencia "se cancelan", con los logaritmos pasa lo mismo y te queda el resultado dentro
Respuesta
en
Matemáticas
y en 2 temas más
a
