¿Cómo se resuelven los siguientes problemas de derivadas (cálculo básico)?

Tenía duda en los siguientes problemas del libro de James Steward capitulo 3.1 octava edición.

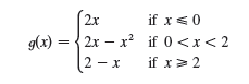
¿Cuáles son los números la siguiente función g es diferenciable?

De una función para g'

Además... Cual es el valor de c tal que y=2x+3 es la ecuación tangente de y=c*x^2

1 Respuesta

Respuesta
2

Para que una función sea derivable en un punto, las derivadas laterales tienen el mismo valor. Para ello debemos calcular cuanto valen sus derivadas en los puntos donde la función cambia

Es decir en x=0 y en x=2

En x=0: (Estoy derivando las funciones que están en 0)

f'(x)=2    f'(0)=2

f'(x)=2-2x   f'(0)=2

Como las derivadas coinciden la función es derivable en x=0

En x=2

f'(x)=2-2x.... f'(2)=-2

f'(x)=2-1... f'(2)=1.

Comos las derivadas laterales no son iguales, la función no es derivable en x=2


Para hallar la intersección entre dos curvas podemos igualarlas. Nos queda entonces

cx^2=2x+3

cx^2-2x-3=0

$$\begin{align}&x=\frac{2 \pm \sqrt{4+12c}}{2c}\end{align}$$

Si lo que esta dentro de la raiz es cero, solo van a tener un punto de interseccion (van a ser tangentes)

Entonces lo que buscamos es cuando 4+12c=0.. nos queda c=-1/3.

Yo lo haría de esa forma, ya que es más rápido. Pero como quieres usar derivadas te presento como se haría con un método que funciona en más ocasiones

Sabemos que la recta y=2x+3 tiene de pendiente 2. y que ademas derivando y=cx^2

y'=2xc tenemos los valores de la pendiente de la recta tangente para cualquier valor de x

Lo que hacemos entonces es Hacer que esas dos pendientes sean iguales; es decir; 2xc=2

x=2/2c

Ese es el valor de x que cumple que la recta tangente tiene pendiente 2.Como queremos que la recta y la parábola se intersecte igualamos ambas ecuaciones y nos queda

2x+3=cx^2

Sustituyendo el valor que obtuvimos de x

$$\begin{align}&\frac{4}{2c}+3=c \frac{4}{4c^2}\\&\frac{2}{c}+3=\frac{1}{c}\\&\text{Multiplicando ambos lados por c}\\&2+3c=1\\&3c=-1\\&c=\frac{-1}{3}\end{align}$$

Nos da el mismo valor de C.

Recapitulando este método que como digo funciona en muchos más casos

1) Vemos cual es el valor de la pendiente de la recta que nos dan

2) Derivamos la curva que nos dan e igualamos ese resultado al valor de la pendiente que obtuvimos en 1), luego hallar el valor de x que cumple esa igualdad

3) Igualamos los valores de la curva y de la recta(Ya que queremos que se intersequen deben ser iguales en algún punto)

4)Sustituimos el valor de x que obtuvimos en 2) y despejamos para hallar el valor de c

Añade tu respuesta

Haz clic para o

Más respuestas relacionadas