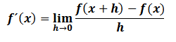
Desarrollar derivada de las siguientes funciones siguiendo el proceso del límite


Gracias profe
Calcular la derivada de las siguientes funciones siguiendo el proceso del límite
1 respuesta
Respuesta de albert buscapolos Ing°
2