Preguntas esperando respuesta
Actividad pública reciente
Ha valorado "Excelente" la respuesta
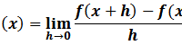
Desarrollar derivada de las siguientes funciones siguiendo el proceso del límite
Ha valorado "Excelente" la respuesta
Resolver el presente problema álgebra
Ha valorado "Buena" la respuesta
Solucione los siguientes problemas enunciando inicialmente el sistema de ecuaciones adecuado y empleando para su solución cualqu
debes plantar las ecuaciones siendo x = 1er producto y= 2do producto y z=3er producto el sistema de ecuaciones seria 3.4x + 1.1y + 0.8z= 960 1.2x + 0.9y + 0.75z = 573 0.8x + 1.2y + 0.6z = 540si resuelves el sistema de ecuaciones los resultados que...
Ha valorado "Excelente" la respuesta
Solucione los siguientes problemas enunciando inicialmente el sistema de ecuaciones adecuado
Ha preguntado en el tema en
Matemáticas
Desarrollar problema La fábrica de alimentos NUTRINAT tiene una producción diaria
La fábrica de alimentos NUTRINAT tiene una producción diaria automatizada de 25000 yogures, 16000 avenas en bolsa, 4500 quesillos y 9200 leches achocolatadas. Según proyecciones económicas del departamento de mercadeo, las ganancias netas por cada...
Sin respuestas
