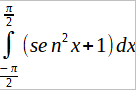
Porfa solucionenme esto \int _{-\pi \:\div \:2}^{\pi \:\div \:2}\:\left(sin^2\:x+1\right)dx.
es esto de aqui, me piden hacer la pregunta con veinte caracteres, asi que no le hagan caso a este textooooo oooooooooo oooooooooooooo ooooooooooooooooo ooooooooooooooo
2 respuestas
Respuesta de Norberto Pesce
1
Respuesta de bastian rvasquez

