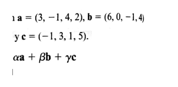
Como se realiza el siguiente problema de matrices lineal
Cómo se realiza el siguiente problema de matrices lineal, que se debe hacer con alfa, betha y gama. Solo dice realizar las operaciones indicadas.

1 Respuesta
Respuesta de albert buscapolos Ing°
2