Homero Ítaca

Homero Ítaca

 México @albertoruiz14 desde - visto
Preguntar

Actividad pública reciente

Ha preguntado en el tema en y en 2 temas más

Estoy tratando de resolver una ecuación esta en forma rectangular y quiero pasarlo a su forma polar, sin embargo, no he encontrá

Estoy tratando de resolver una ecuación que esta en forma rectangular y quiero pasarlo a su forma polar, sin embargo, no he encontrado el procedimiento correcto ya que al momento de realizarlo no encuentro como simplificarlo, las fórmulas a utilizar...
Ha preguntado en el tema en y en 3 temas más

Estoy realizando una gráfica y quiero saber si la función siguiente puede ser gráfica da con algún programa ya intente en geogeb

Y = e^(x+z^2) Intente graficar en geogebra, sin embargo, no me da la gráfica.
Ha preguntado en el tema en y en 2 temas más

Estos son problema de probabilidad y estadística

Calcule: a) ¿Cuántos números de cuatro dígitos se pueden formar con los dígitos 0, 1, 2, 3, 4, 5, 6, si cada dígito se puede usar sólo una vez? B) ¿Cuántos de estos números son pares? C) ¿Cuántos son mayores que 300? 2. ¿De cuántas formas se puede...
Ha valorado "Excelente" la respuesta

Dos estudiantes vieron a dos hombres alejarse en automóvil frente a una joyería, justo antes de que sonara una alarma contra rob

respondió: Tenemos que la placa tiene la siguiente forma X X D D D D Además podemos ser más específicos, ya que en realidad serían: X O D D D 3 X O D D D 8 X Q D D D 3 X Q D D D 8 Tenemos que para la primer posición, tenemos 26 letras (acá habría que ver...
Ha preguntado en el tema en y en 1 temas más

Una placa contiene un espesor de 5 mm y un agujero circular de 75 mm de radio, si se eleva su temperatura hasta 22°C determine

Una placa contiene un espesor de 5 mm y un agujero circular de 75 mm de radio, si se eleva su temperatura hasta 22°C determine a) El espesor de la placa. B) El radio del agujero. C) El área del agujero circular. Una placa contiene un espesor de 5 mm...
Sin respuestas
Ha cambiado su perfil.
  • Nombre completo: Homero Ítaca.
Ha preguntado en el tema en y en 1 temas más

Quiero saber si la siguiente expresión es una Ecuación lineal

Quisiera saber si la expresión es una ecuación lineal y porque es una ecuación lineal en caso que si lo sea.
Ha preguntado en el tema en y en 1 temas más

Encontrar la derivada utilizando la definición del siguiente ejercicio

Por favor, ayuda de como encontrar la derivada utilizando la definición.
Ha preguntado en el tema en y en 2 temas más

Dibuje la recta tangente a la curva que pasa porel punto indicado y estime su pendiente.

Cómo puedo encntrar la tangente a la curva que pasa por el punto indicado y estimar la pendiente, solo a través de estas gráficas.
Ha preguntado en el tema en y en 4 temas más

Probabilidad. Considera un dado balanceado que se lanza dos veces. Encuentra la probabilidad de obtener 4, 5 o 6 en el primer la

Considera un dado balanceado que se lanza dos veces. Encuentra la probabilidad de obtener 4, 5 o 6 en el primer lanzamiento y 1, 2, 3 o 4 en el segundo lanzamiento.
Ha preguntado en el tema en y en 2 temas más

División de segmentos, geometría analítica

Estoy buscando reforzar lo aprendido con división de segmentos, sin embargo, no logro llegar utilizando la fórmula de división de segmentos a la razón correcta, puede apoyarme.
Ha valorado "Excelente" la respuesta

Movimiento de una partícula utilizando integrales

respondió: Complementando la respuesta de Gustavo, te diría que integres la función para hallar el espacio recorrido. Y que la derives para hallar la aceleración, todo referido a t= 4 s. La integral la definís entre 0 y 4 s y tendrías que llegar al valor 5.333....
Ha preguntado en el tema en y en 2 temas más

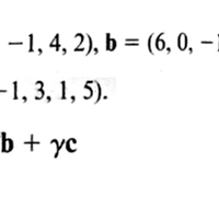
Como se realiza el siguiente problema de matrices lineal

Cómo se realiza el siguiente problema de matrices lineal, que se debe hacer con alfa, betha y gama. Solo dice realizar las operaciones indicadas.
Ha preguntado en el tema en y en 2 temas más

Hay un problema de álgebra lineal de complejos cuál es el proceso para el resultado.

Obtenga todas las soluciones de la ecuación dada y represente gráficamente las soluciones X^5 + 243 = 0 Llegan al resultado de la imagen, cómo se hace para poder llegar a ese resultado