Quien me ayud4, Ecuación diferencial homogénea

Es una ecuación diferencial Homogénea, Me seria de gran ayuda describiéndome el proceso como tal.

1 respuesta

Respuesta
2

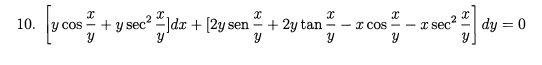
Es efectivamente una ED homogénea de primer grado de homogeneidad: si colocamos una k (por constante) antes de cada x y y, vemos que se pueden factorizar y simplificar quedando la ED original.

Hacemos:  u=x/y;  x=yu;  dx=udy + ydu.  Reemplazo:

y(cosu+sec^2u)(ydu+udy)+ [2y(senu+tanu) -yu(cosu+sec^2u)]dy = 0;  factorizo y y simplifico:

(cosu+sec^2u)(ydu+udy)+ [2(senu+tanu) -u(cosu+sec^2u)]dy = 0;

(cosu+sec^2u)(ydu) +(cosu+sec^2u)udy+ [2(senu+tanu) -u(cosu+sec^2u)]dy = 0;  simplifico:

(cosu+sec^2u)(ydu) 2(senu+tanu)dy = 0;

(cosu+sec^2u)(ydu)=  -2(senu+tanu)dy;

[(cosu+sec^2u) / (senu+tanu)](du) = (-2/y) dy;  integro, a la izquierda por logarítmica porque el numerador es la derivada del denominador:

ln(senu+tanu) = (-2) ln y + C;  o:  ln(senu+tanu) = ln y^(-2)  + lnA;  donde C=lnA;

(senu+tanu) = A*y^(-2);  devuelvo variable y dejo como Ecuación implícita:

sen(x/y) + tan(x/y) = A/y^2;  o:

y^2*[sen(x/y) + tan(x/y)] = A;  siendo A una constante.

Añade tu respuesta

Haz clic para o

Más respuestas relacionadas