Como resuelvo aplicando esta derivación
Me piden que dada la función fx y un punto a de su dominio. Resuelva su limite:

en esta función:
![]()
1 respuesta
Respuesta de albert buscapolos Ing°
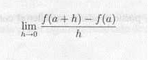
Me piden que dada la función fx y un punto a de su dominio. Resuelva su limite:

en esta función:
![]()