Maxima Vargas

Maxima Vargas

 Argentina @maximavargas desde - visto
Preguntar

Actividad pública reciente

Ha preguntado en el tema en y en 1 temas más

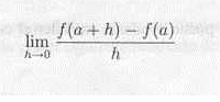
Como resuelvo aplicando esta derivación

Me piden que dada la función fx y un punto a de su dominio. Resuelva su limite: en esta función:
Ha preguntado en el tema en

Cual de estos es el modelo correcto de separación de capas

1s--- 2s---- 2p 3s---- 3p 4s----- 3d 4p 5s---- 4d 5p 6s---- 4f 5d 6p 7s--- 5f 6d 7p 8s----- Mi teoría ees que esa configuración de capas es errronea ya que los periodos osea las ''capas'' son 7 Por lo tanto creo yo que debería ser así: 1s---- 2s...
Ha empezado a seguir el tema
Ha preguntado en el tema en y en 2 temas más

No consigo resolver este limite indeterminado

Resuelvo este limite indeterminado y me da 1 pero luego veo el resultado y me dicen que me tiene que dar cero... Cuales son los pasos correctos a seguir para resolver.
Ha empezado a seguir el tema
Ha empezado a seguir el tema
Ha empezado a seguir el tema
Ha empezado a seguir el tema