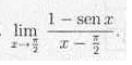
No consigo resolver este limite indeterminado
Resuelvo este limite indeterminado y me da 1 pero luego veo el resultado y me dicen que me tiene que dar cero... Cuales son los pasos correctos a seguir para resolver.

Respuesta de Yves Stanislas SH
1 respuesta más de otro experto
Respuesta de Alejandro Salazar


