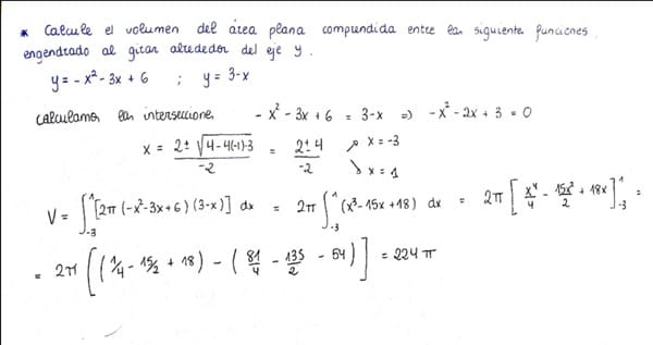
Calcule el volumen del área plana comprendida entre las siguientes funciones, engendrado al girar alrededor del eje Y
Y=-x²-3x+6 ; Y=3-x
...
1 respuesta
Respuesta de Pablo Medina Ramos
1

