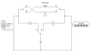
Cómo resolver un ejercicio de conmutador eléctrico
Alguien me podría explicar cómo resolver este ejercicio de conmutador. No entiendo, cuando hay tantos elementos. Agradezco vuestra ayuda.


Respuesta de Josu Diaz
1
1 respuesta más de otro experto
Respuesta de Rober Chispas
1

