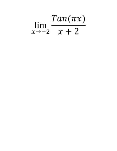
Límite indeterminado trigonométrico, (no usar método del L’Hospital).

Agradezco de su colaboración con la solución del siguiente ejercicio .

1 respuesta

Respuesta
2

Voy a hacer los pasos sin demasiadas explicaciones. Si tienes dudas pregunta. Lo importante es que voy a reemplazar la tangente por seno/coseno y voy a hacer la sustitución x+2 = u

$$\begin{align}&\lim_{x \to -2} \frac{tan( \pi x)}{x+2} = \lim_{x \to -2} \frac{\sin( \pi x)}{\cos(\pi x) (x+2)} = \\&u = x+2\\&\lim_{u \to 0} \frac{\sin( \pi (u-2))}{u \cos(\pi (u-2))} = \lim_{u \to 0} \frac{\sin( \pi u-2 \pi)}{u \cos(\pi u- 2 \pi)} = \\&\lim_{u \to 0} \frac{\sin( \pi u)\cos(2 \pi)- \sin(2 \pi)\cos(\pi u)}{u (\cos(\pi u) \cos(2 \pi) + \sin(\pi u) \sin(2 \pi))} = \\&\lim_{u \to 0} \frac{\sin( \pi u)}{u (\cos(\pi u) )} = \\&\text{multiplico y divido por }\pi\\&\lim_{u \to 0} \frac{\sin( \pi u)}{u (\cos(\pi u) )} \frac{\pi }{\pi}= \\&reacomodo\\&\lim_{u \to 0} \frac{\sin( \pi u)}{\pi u} \cdot \frac{\pi }{\cos(\pi u)} \to 1 \cdot \frac{\pi}1 \to \pi\end{align}$$

Añade tu respuesta

Haz clic para o

Más respuestas relacionadas