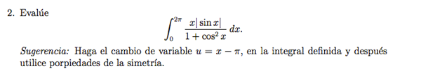
Duda sobre problema con integral definida y cambio de variable

Se que usando ese cambio de variable cuando haga cambio en los extremos mis limites serán de -pi a +pi por lo tanto la integral es 0, ¿pero cómo lo demuestro? No entiendo como hacerlo si no está x - pi en la integral.
1 respuesta
Respuesta de Karl Mat
1
