Límites y continuidad: Determinar la continuidad de las siguientes funciones en el punto indicado.
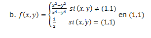
Me colocaron 20, pero este no he podido resolverlo. Determinar la continuidad de las siguientes funciones en el punto indicado:

1 Respuesta
Respuesta de Alejandro Salazar
2

