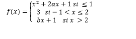
Desarrollar los valores de a y b para que la función f(x) sea continua

Calcular los valores de a y b para que la función f(x) sea continua
Calcular los valores de a y b para que la función f(x) sea continua
1 respuesta
Respuesta de Norberto Pesce
1
