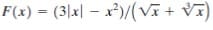
Como encontrar los puntos de continuidad de una función?

2.- ¿En qué números  es continua?                                                                                      

1 respuesta

Respuesta
1

Las restricciones que encontramos son:

a) Al ser x el único radicando en una raíz par, no puede ser negativa, por lo que x> o = 0;

b) Que el denominador no debe ser 0, para lo que no debe darse que:

√x + ∛x = 0;  única posibilidad es que x=0.  En ese punto queda una indefinición 0/0.

Podemos eliminar al módulo directamente porque no está definida para x negativas.

Tomemos límite para x->0+ (x tendiendo a 0 por derecha (por izquierda ya vimos que no tiene)):

x(3-x) / (√x + ∛x);

x(3-x) / [(x^3)^(1/6) + (x^2)^(1/6)];

x(3-x) / {[x^2(1/6)*x^(1/6)] + (x^2)^(1/6)};

x(3-x) / {[x(1/3)*x^(1/6)] + x^(1/3)};

x(3-x) / {x^(1/3)* [x^(1/6) + 1]};

x^(2/3) * (3-x) / [x^(1/6) + 1];  Tomo límite para x ->0+:

0 / 1;  límite tiende a 0.

¿Qué ocurre cuando x-> ∞?

Observamos que el numerador decrece más rápido que el denominador, por lo que tenderá a 0.

La función es continua en el intervalo abierto (0; +∞).

Puedes encontrar la gráfica de tu función pero con un error, ya que ponen la parte real (en azul) también a la izquierda de 0, pero sólo corresponde la línea azul a la derecha de 0:

http://www.wolframalpha.com/input/?i=plot+(3x+-+x%5E2)+%2F+(%E2%88%9Ax+%2B+%E2%88%9Bx) 

Añade tu respuesta

Haz clic para o

Más respuestas relacionadas