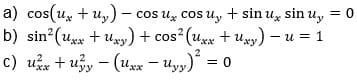
Determine cuáles de las siguientes ecuaciones representan ecuaciones diferenciales parciales
Calculo
Determine cuáles de las siguientes ecuaciones representan ecuaciones diferenciales parciales, justifique

1 Respuesta
Respuesta de Norberto Pesce
1
