Ejercicio sobre limites en matemáticas
Momento 2.
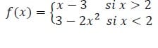
- Elabora una gráfica de la función que se indica en seguida (no deberá incluir la gráfica en su trabajo), y conteste lo siguiente:

- a) ¿Por cuál valor de? Atraviesa la función el eje de las ordenadas? O sea la ordenada al origen.
- b) Determina los límites cuando? Tiende a 2.
- c) Indica si la función es continua precisamente en?=2. Explica en breves palabras.
- La siguiente expresión representa niveles de inventario de cierto producto en su empresa, en diferentes tiempos. (Sugerencia: también grafícala por separado, sin incluirla.)

Contesta lo siguiente:
- a) ¿Es continua la función en ?=2? Explica por qué y determina su valor.
- b) ¿Es continua la función en ?=5? Determina el límite cuando “x” tiende a 5 en las dos primeras secciones de la función, y contesta la pregunta.
c) ¿Es continua la función en ?=15? Demuéstralo
1 respuesta
Respuesta de Lucas m
1


