Como resolver las integrales definidas e indefinidas

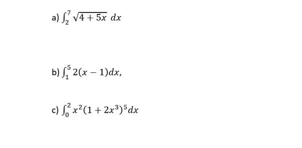
Resolver los siguientes ejercicios, Evaluar las siguientes integrales definidas:

1 respuesta

Respuesta
1

1)  ∫  (de 2 a 7): √ (4+5x) dx;  

CDV:  u= √(4+5x);  du= 5dx/(2u);  dx= (2/5)u*du;

(2/5) ∫ (de 2 a 7) u*du;  

Indefinida:  (2/5) u^2/2 + C;  o:  (1/5)u^2 + C;   devuelvo variable:

(1/5) (4+5x) + C

Para x=7:  39/5;  Para x=2:  14/5;  resto:  (39-14)/5 = 5;

5 unidades^2.

2)  2*∫ (de 1 a 5):  (x-1)dx;

Indefinida:  2* [(1/2)x^2 - x] + C;

Para x=5:  2* [(25/2) - 5];  15;

Para x=1:  2* [(1/2) -1];  -1;  resto:  15-(-1)=16;

16 u^2.

3)  ∫ (de 0 a 2):  x^2*(1+2x^3)^5*dx;  

CDV:  u=(1+2x^3);  du=6x^2*dx;  dx= du/(6x^2);  reemplazo:

 ∫ (de 0 a 2):  x^2*u^5*du / (6x^2);  simplifico:

(1/6)  ∫ (de 0 a 2): u^5*du;

Indefinida:  (1/36) u^6 + C;

Hagamos ahora de otra manera, sin devolver la variable:  como u=(1+2x^3)

Para x=0;  u=1.   Para x=2;  u=17;   quedando:

Para u=17:  (1/36)*17^6;   (1/36)*24137569;;

Para u=1:  (1/36)*1;  1/36.  resto:

24137568 / 36 = 670488 u^2

Añade tu respuesta

Haz clic para o

Más respuestas relacionadas