Alguien me puede orientar con las siguientes integrales definidas e indefinidas
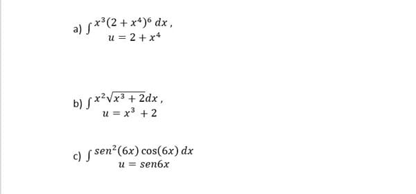
Resuelve los siguientes ejercicios integrales usando sustitución.

1 respuesta
Respuesta de Norberto Pesce
1
