Gauss Jordan 6 incognitas 3 ecuaciones, como hacerlo?

Necesito resolver por gauss jordán, hice la matriz y después de sumar a la fila 3, el inverso aditivo de la matriz 1, me quedo 2 1 2 3 1 4=1

                                   0 1 1 2 2 0 =-1

                                   0 0 1 -2 -1 1 =0 

Ahora no se que más hacer

2 respuestas

Respuesta

Allí, en lo que obtenido puedes ver que la única opción posible es que x3, x4, x5 y x6 tienen que ser iguales que cero. Así, x1 y x2 son los que tienen un valor difernte de cero.

Míralo así

porque deben ser iguales a cero x3 x4 x5 x6? o como infieres eso? no logro captar

Cuando vas a resolver una matriz de 6 incognitas debes tener un sistema de 6 ecuaciones para que cada una de las incognitas tenga un valor numérico. Si no tienes las 6 ecuaciones habrá tantas variables dependientes como ecuaciones te falten, en este caso 3.

Debido que hay muchas posibilidades de combinación se toma la solución más fácil, en la fila que se obtiene de restar F1 a F3, se toma la solución trivial, para que todas sumadas den cero, cada una debe valer cero.

Ya que x3, x4, x5, x6 valen cero, se toma la x3 en las dos primeras y resuelves la nueva matriz obtenida, eso es lo que he hecho.

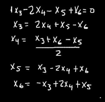
Si quieres una respuesta con las variables dependientes:

Pero con esas opciones no puedes saber el valor de x1 ni de x2, ya que x3 tiene un valor dependiente del valor de x4 x5, x6.

Espero haber despejado tus dudas, pero puedes volver a preguntar

Respuesta

Christian, si tienes 6 incógnitas, entonces necesitas 6 ecuaciones si quieres que la solución sea única, en este caso como tienes 3 ecuaciones tendrás infinitas soluciones. Tu sistema queda, como bien pusiste:

2x_1+ x_2+ 2x_3 + 3x_4 + x_5 + 4x_6 = 1

          x_2 +x_3 + 2x_4 + 2x_5 = -1

                    x_3 - 2x_4 - x_5 + x_6 =0

Como tenemos 6 incógnitas para 3 ecuaciones, tendremos 3 parámetros, digamos que

x_4 = a; x_5 = b; x_6 = c

por lo que nos queda

x_3 = 2a + b - c

x_2 = -x_3 - 2a - 2b - 1 ...remplazando x_2 = -2a - b + c - 2a - 2b - 1 ...haciendo las cuentas

x_2 = -4a - 3b + c - 1

2x_1 = 1 - x_2 - 2x_3 - 3a - b - 4c...remplazando 2x_1 = 1 +4a + 3b - c + 1 - 4a - 2b + 2c - 3a - b - 4c

2x_1 = 2 - 3a - 3c Por lo tanto x_1 = 1 - 3/2a - 3/2c

Así que las infinitas soluciones son

x_1 = 1 - 3/2a - 3/2c

x_2 = -4a - 3b + c - 1

x_3 = 2a + b - c

x_4 = a

x_5 = b

x_6 = c

Y obtienes las infinitas soluciones dándole distintos valores a 'a', 'b' y 'c'

Te dejo un link donde aclara un poco más el asunto

Salu2

Añade tu respuesta

Haz clic para o

Más respuestas relacionadas