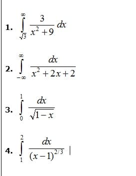
Evaluar las siguientes integrales impropias si convergen o divergen:
Solicito la colaboración para entender como se procede con estas integrales

1 respuesta
Respuesta de Lucas m
1